Что показывает IRR
Исходя из нашего объяснения, становится очевидно, что показывает IRR. Он, в первую очередь, демонстрирует нам, может ли проект стать успешным, насколько можно вложиться в него и как это отразится на будущей прибыли
Но, помимо этого, тут стоит обратить внимание и на популярность Вашей бизнес идеи, насколько она будет полезна и актуальна среди людей
Безусловно, чтобы продвигаться вперёд в этом направлении, важно сделать так, чтобы проект развивался и следовал современным тенденциям. Несомненно, тут не обойтись без грамотно оформленного сайта, являющийся визитной карточкой любой бизнес идеи
В этом может помочь оптимизация, она сделает Ваш сайт более востребованным, современным. Это отразится на проекте и, как правило, на показателе IRR.
Разъяснение внутренней нормы прибыли (IRR)
IRR — это ставка дисконтирования, которая используется для измерять доходность инвестиций на основе периодических доходов. IRR отображается в процентах и может использоваться для определения прибыльности проекта (инвестиции) для компании.
Позвольте мне объяснить IRR на простом примере:
В приведенном выше примере IRR составляет 15% (мы увидим, как рассчитать это позже в руководстве). Это означает, что вы вкладываете свои деньги со ставкой 15% или доходом в течение 10 лет.
Получив значение IRR, вы можете использовать его для принятия решений. Поэтому, если у вас есть какой-либо другой проект, в котором IRR составляет более 15%, вам следует вместо этого инвестировать в этот проект.
Или, если вы планируете взять ссуду или привлечь капитал и купить этот проект за 50 000 долларов, убедитесь, что стоимость капитала составляет менее 15% (иначе вы заплатите больше как стоимость капитала, чем вы зарабатываете из проект).
Как работает и где используется
Механизм сложного процента действует по подобию снежного кома: инвестиции приносят доход, который в свою очередь также вкладывается и создает уже новый дополнительный доход. Чтобы получать эффект сложного процента от своих инвестиций, дополнительных стратегий или особых экономических знаний не требуется. Достаточно реинвестировать доходы, а не тратить их.
Сегодня капитализация процентов активно используется в банковской сфере и на рынке ценных бумаг (акции, облигации, ПИФы, ETF и т. д.). Также сложный процент можно применять и в недвижимости, когда доход от аренды направляется на покупку и сдачу в аренду новых недвижимых объектов.
Экономический смысл показателя
Другие наименования: внутренняя норма рентабельности (прибыли, дисконта), внутренний коэффициент окупаемости (эффективности), внутренняя норма.
Коэффициент IRR показывает минимальный уровень доходности инвестиционного проекта. По-другому: это процентная ставка, при которой чистый дисконтированный доход равен нулю.
Формула для расчета показателя вручную:
, где
- CFt – денежный поток за определенный промежуток времени t;
- IC – вложения в проект на этапе вступления (запуска);
- t – временной период.
На практике нередко коэффициент IRR сравнивают со средневзвешенной стоимостью капитала:
- ВНД выше – следует внимательно рассмотреть данный проект.
- ВНД ниже – нецелесообразно вкладывать средства в развитие проекта.
- Показатели равны – минимально допустимый уровень (предприятие нуждается в корректировке движения денежных средств).
Часто IRR сравнивают в процентами по банковскому депозиту. Если проценты по вкладу выше, то лучше поискать другой инвестиционный проект.
n1.doc
5
6.4. Смысл ВСД
- Проценты по основной сумме «кредита» в начале периода.
- Выплату основной суммы.
| Сумма капиталовложения в начале 1-го периода | 100000 |
| Приток денежных средств за период | 31 000 |
| 8,10% * Капиталовложение в начале периода | 8097 |
| Приток средств в качестве выплаты основной суммы | 22903 |
| Сумма капиталовложения в начале 2-го периода = Суммав начале предыдущего периода — Приток средств в качестве выплаты основной суммы в 1-м периоде | 100000-22093 =77097 |
6.4.1- Снова к основному примеру аренды
- С чисто технической точки зрения свести концы с концами в таблице можно только в том случае, если сделать некоторые из цифр доходов отрицательными. Такая интерпретация верна, но не слишком интересна.
- С чисто экономической точки зрения отрицательные величины доходов означают, что в некоторые годы проект себя не окупает, но и избавиться от него тоже нельзя. Для примера рассмотрим финансовое положение арендодателя в начале 9-го года. Впереди ему предстоят семь лет отрицательных денежных потоков. Только через восемь лет, в 16-м году, арендодатель снова увидит положительный денежный поток от своих арендных отношений. Разумный арендодатель обязательно захочет избавиться от такого договора аренды; приведенная стоимость денежных потоков в начале 9-го года при ставке дисконтирования составляет 39 333 долл. (и это еще с учетом реализации имущества по остаточной стоимости в 16-м году!). Но, конечно, ни один разумный капиталовкладчик не приобретет такой договор в начале 9-го года аренды, если ему за это не заплатить или если ставка дисконтирования не будет отрицательной. Именно это обстоятельство — что арендодатель вынужден был бы заплатить кому-нибудь, чтобы сбыть арендный договор с рук на 9-м году, — и выражается отрицательным доходом на 9-м году проекта22. С хозяйственно-экономической точки зрения в этот момент сдача в аренду не просто невыгодна — она становится бременем для арендодателя.
6.5. Бухгалтерский аспект: многофазный методмногофазным методом, Qquirkly,
| Год | Многофазный метод | Примечание |
| 1 | Сумма капиталовложения арендодателя в имущество в начале 1-го года равна доле средств, внесенных за имущество сразу. В нашем примере Вложение(1) = 200 000 долл | Аналогично вычислению ВСД |
| T | В конце года tарендодатель должен декларировать в бухгалтерских документах следующий доход от аренды:Q*Вложение (1) если это число > 00 в противном случае | Если доход положителен, используется распределение между доходом и вы- платой кредита, как в методе ВСД; иначе доход уста- наваливается равным нулю |
| T | Вложение капитала арендодателя в имущество в начале любого года t>1 определяется таким образом: Вложение (t) = Вложение (t — 1) — | Как в методе ВСД |
| Последний | Поток средств (посл. Год) = Вложение (посл.год) *(1+Q) | Как в методе ВСД |
6.5.1. Вычисление ставки доходности по многофазному методуQQне дает Q.Q6.6. Сравнение ставки доходности по многофазному методу и ВСД
- Как правило, ставка по МФМ меньше или равна ВСД. Равенство достигаетсятогда, когда все потоки денежных средств положительны; в противном случаеВСД превосходит ставку доходности по МФМ.
- Если ставка по МФМ меньше ВСД, то в какой-то момент расчет по ВСД дастотрицательный доход от аренды, в то время как расчет по МФМ даст нулевой,
II Моделирование портфелей ценных бумаг. с7 Введение в модели портфелей ценных бумаг7.1. ВведениеiEririiri,rjijri,rjijriiiri,rj7.2. Простой пример с двумя активамимесячный доход PAtPAt-1-1. ВПримеч. редожидаемое значение месячного дохода ковариацию М — СРЗНАЧКОВАР(Массив1,Массив2) АВ– ав ?
- Если коэффициент корреляции равен +1, то доходы по двум активам линейнозависимы с положительным угловым коэффициентом.
- Коли коэффициент корреляции равен -1, то доходы по двум активам линейнозависимы с отрицательным угловым коэффициентом.
7.2.1. Другое представление коэффициента корреляцииК2.7.3. Вычисление среднего дохода и дисперсии портфеляЕ(rp)=Е(rА) 5Е(rB) , средневзвешенному доходу не является 7.4. Средний доход и дисперсия портфели 23i Е(r) Е(r)Т ijковариационнойматрицей:В S7.5. Эффективные портфели ффективный портфель- (активовЭффективной границей x {x1,,xn}y={y1,..,yn}аzxy. хуах + 7.5.1. Возвращение к общему случаю (раздел 7.4) не являются эффективными. 7.6. Заключение 8 Вычисление ковариационной матрицы 8.1. Введение , функции для работы с массивами. текущей анные полному доходу, i средний доход i i
5
6.4. Смысл ВСД
Плечо финансового рычага
Показывает, как на финансовый рычаг влияет доля заемных средств.
Плечо финансового рычага = Заемный капитал : Собственный капитал
Заемный капитал включает долгосрочные и краткосрочные обязательства:
- Кредиторскую задолженность (то, что должна компания).
- Кредиты и займы.
В зависимости от отрасли, размера компании и других факторов норма для коэффициента может меняться, поэтому важно оценивать его в совокупности с другими показателями. Значения:
Значения:
- больше 0,7 — компания рискует потерять финансовую устойчивость. Допускается и более высокое значение, например, в России считается нормальным коэффициент 1. Но чем он больше, тем ниже финансовая устойчивость компании.
- 0,5-0,7 — оптимальное значение.
- ниже 0,5 — компания упускает возможность повысить эффективность за счет привлечения заемных средств.
Виктор Миронов, управляющий директор консультационной группы «ТИМ»:
Расчет для компании «Альфа»:
Плечо финансового рычага (текущая ситуация) = 0 : 1 000 000 = 0
В текущей ситуации компания обладает высокой финансовой устойчивостью, но может заработать больше, если будет использовать заемные средства.
Плечо финансового рычага (для кредита) = 500 000 : 1 000 000 = 0,5
Кредит не окажет негативного влияния на финансовую устойчивость компании.
Расчет для компании «Бета»:
Чтобы узнать размер заемных средств, нужно вычесть из стоимости активов размер собственного капитала:
Заемные средства = 800 000 — 500 000 = 300 000 (руб.)
Плечо финансового рычага (текущая ситуация) = 300 000 : 500 000 = 0,6
Плечо финансового рычага (для кредита) = 500 000 : 500 000 = 1
Размер показателей в норме.
Рассчитаем плечо для всех заемных средств:
Плечо финансового рычага (суммарно с кредитом) = (300 000 + 500 000) : 500 000 = 1,3
Если компания возьмет кредит, она потеряет финансовую устойчивость.
Кратко
- При начислении простых процентов инвестор получает только процентный доход. Он не капитализируется, а значит, база расчета дохода не растет.
- Сложный процент в инвестициях начинает работать, когда полученная прибыль реинвестируется.
- Регулярные пополнения в течение длительного времени помогают значительно увеличить базу для расчета процентного дохода.
Данный справочный и аналитический материал подготовлен компанией ООО «Ньютон Инвестиции» исключительно в информационных целях. Оценки, прогнозы в отношении финансовых инструментов, изменении их стоимости являются выражением мнения, сформированного в результате аналитических исследований сотрудников ООО «Ньютон Инвестиции», не являются и не могут толковаться в качестве гарантий или обещаний получения дохода от инвестирования в упомянутые финансовые инструменты. Не является рекламой ценных бумаг. Не является индивидуальной инвестиционной рекомендацией и предложением финансовых инструментов. Несмотря на всю тщательность подготовки информационных материалов, ООО «Ньютон Инвестиции» не гарантирует и не несет ответственности за их точность, полноту и достоверность.
Дисконтирование денежных потоков
DCF – процесс адаптации финансовых средств к текущему временному промежутку. Это необходимо в связи с тем, что деньги теряют часть своей стоимости с течением времени, это выражено в экономическом законе убывающей стоимости.
Поэтому важно выражать планируемые прибыль\убытки\инвестиции\платежи в соответствии нынешним курсом денежных средств. Для этого используется коэффициент дисконтирования
Расчет коэффициента
Чтобы рассчитать стоимость будущих вложений, основываясь на их стоимости в настоящий период времени достаточно умножить специальный коэффициент на сумму вложений.
Сам же коэффициент обратно пропорционален ставке дисконтирования(r) и номеру временного периода (i):
Экономический смысл формулы
где:
- DCF – дисконтированные финансовые вливания;
- CF – финансовые вливания в момент времени i;
- r – ставка дисконтирования;
- n – количество временных периодов.
Ставка дисконтирования играет важную роль в расчетах. Именно она отражает лимит прибыли, на который может рассчитывать инвестор в момент вложения в бизнес или проект. Ставка дисконтирования представляет собой совокупность несколько составляющих:
- уровень инфляции;
- прибыль от менее рискованных вложений;
- норма доходности за возможный риск для инвестиций;
- ставка рефинансирования;
- средняя процентная ставка по банковским вкладам и т.д.
Покупка квартиры
Рассмотрим вариант инвестирования в недвижимость, а именно — приобретение квартиры с целью сдачи ее в аренду, чтобы через несколько лет, к примеру, через 2 года, ее продать. Возьмем упрощенный вариант: через 2 года квартира будет стоить столько же, как и при покупке.
Покупаем за 5 миллионов квартиру в ближнем Подмосковье. Это будет однокомнатная квартира средней площадью 50 кв. м. Аренда такой квартиры в 2021 году стоит примерно 25 000 рублей в месяц.
Подсчитаем прибыли:
- за первый год — 25 000 рублей * 12 месяцев = 300 000 рублей;
- за второй год — 25 000 рублей * 12 месяцев = 300 000 рублей.
Всего за 2 года — 600 000 рублей.
Сравним результаты
| Годы | Депозит | МФО | Облигации | Квартира |
| -5000000 | -5000000 | -5000000 | -5000000 | |
| 1 | 400000 | 1050000 | 246906 | 300000 |
| 2 | 5800000 | 7100000 | 5493812 | 5600000 |
Как мы видим, наибольшую доходность принесет вложение в МФО, но и это максимально возможный риск. Квартира по сравнению с банковским депозитом не так уж и привлекательна, так же, как и популярные облигации.
Если сравнивать в процентном соотношении, то доходность сдачи в аренду составляет 6% в год. В этом варианте получить прибыль получится только при росте цены на квартиру, а она иногда может и падать.
Высчитать IRR в Excel | Как употреблять функцию IRR? (с примерами)
IRR либо внутренняя норма доходности употребляется для расчета внутренней прибыли для неких инвестиций в деньги, IRR — это интегрированная функция в Excel, которая употребляется для ее расчета, и это также финансовая формула, эта функция воспринимает спектр значений в качестве входные данные, для которых нам необходимо высчитать внутреннюю норму прибыли и предполагаемое значение в качестве второго входа.
IRR в Excel обозначает I nternal R поел R eturn. IRR в Excel — одна из интегрированных функций, доступных в Microsoft Excel. IRR в Excel подпадает под категорию денежных функций в.
Внутренняя норма прибыли — это процентная ставка, приобретенная за изготовленное вложение. IRR в Excel состоит из сделанных платежей, представленных отрицательными значениями, и приобретенного дохода, обозначенного положительными значениями, которые происходят через постоянный интервал времени.
Функция IRR в Excel возвращает внутреннюю норму прибыли для серии валютных потоков, представленных положительными и отрицательными числами. Эти валютные потоки не непременно должны быть поочередными, как при аннуитете. Но валютные потоки должны происходить через постоянные промежутки времени, к примеру, каждый месяц, ежеквартально либо раз в год. Сумма наличных может варьироваться для всякого интервала.
Формула, применяемая для расчета IRR в Excel
Формула IRR Excel смотрится последующим образом:
- спектр = Это неотклонимый параметр. Спектр ячеек, обозначающий ряд валютных потоков, для которых будет рассчитана внутренняя норма прибыли.
- guess = Это необязательный параметр. Он обозначает число, которое, по вашему воззрению, близко к результату внутренней нормы прибыли. Если значение не обозначено, употребляется значение по дефлоту 0,1 либо 10%.
- «[]» Обозначает необязательные характеристики.
Функция возвращает числовое значение. Это могло быть положительно либо негативно.
Как высчитать IRR в Excel? (с примерами)
Вы сможете скачать этот шаблон Excel для функции IRR тут — Шаблон Excel для функции IRR
Расчет IRR в Excel быть может выполнен 2-мя методами, к примеру, при помощи функции рабочего листа (WS) либо функции VBA. Как функцию WS, ее можно ввести как часть формулы в ячейку рабочего листа. Как функция VBA, он может употребляться в коде макросов, который вводится через редактор Microsoft Visual Basic, встроенный в MS Excel. Обратитесь к расчету IRR в примере Excel, приведенном ниже, чтоб лучше осознать.
Пример # 1 — Расчет IRR в листе Excel
В этом примере расчета IRR -3000 обозначает сумму инвестированного капитала. Следующие числа 2000 и 5000 обозначают доход. Функция IRR в Excel рассчитывается для значений -3000, 2000 и 5000. Итог составляет 67%.
Пример # 2
В этом примере расчета IRR #NUM! отображается в итоге, поэтому что в наборе значений нет единственного отрицательного значения. Итак, нет значения, указывающего на оплату, но все это доход.
Пример # 3
В этом примере расчета IRR все значения отрицательны. Это показывает на отсутствие дохода. Как следует, сгенерированный итог — # ЧИСЛО!
Пример # 4
В этом примере расчета IRR всего 5 значений. -10000 обозначает произведенную оплату. Последующие значения относятся к годам, т. Е. Доход, приобретенный в год 1 — 2000, год 2 — 5000, год 3 — 4000, год 5 — 6000.
Для расчета дохода, приобретенного в конце 3-х лет, формула IRR применяется к ячейкам от B2 до B4. Итог составляет -19%, потому что сумма выплаты в 1-ый год больше, чем доход, приобретенный в следующие годы.
Для расчета дохода, приобретенного в конце пятилетнего периода, формула IRR применяется к ячейкам от B2 до B6. Итог 22%. Итог положительный, потому что доход, приобретенный в следующие годы, превосходит сумму платежа, инвестированного в 1-ый год.
Пример # 2 — Расчет IRR в Excel VBA
Функцию IRR можно употреблять в коде VBA в Microsoft Excel последующим образом:
Формула IRR в Excel VBA :
Формула Irr в VBA смотрится последующим образом.
Значения = валютный поток
IRRVal = Внутренняя норма доходности
Давайте разглядим пример для Irr в VBA.
В этом примере расчета IRR IRRVal — это переменная типа double. Он содержит итог, возвращенный функцией Irr. Значения представлены в виде массива типа данных double, в котором изначальное значение -10000 показывает на платеж, произведенный в 1-ый год. Следующие значения — 2000, 5000, 4000 и 6000, указывающие годичный доход в течение последующих 4 лет.
Расчет эффекта финансового рычага
Включает три элемента, которые влияют на прибыль:
- налоговый корректор показывает влияние налоговой нагрузки;
- дифференциал финансового рычага — разница между прибыльностью бизнеса и ценой заемных денег;
- плечо финансового рычага — соотношение между заемным и собственным капиталом.
Эффект финансового рычага = Налоговый корректор х Дифференциал финансового рычага х Плечо финансового рычага
А теперь разберем множители по порядку и рассмотрим расчет финансового рычага для компаний «Альфа» и «Бета».
Налоговый корректор
Показывает, как влияет на финансовый рычаг ставка налога на прибыль: какая доля прибыли остается у компании после уплаты налога. Компания не может влиять на этот коэффициент — ставку устанавливает государство.
Этот коэффициент рассчитывается в виде десятичной дроби.
Налоговый корректор = 1 — Ставка налога на прибыль
В России основная ставка налога на прибыль равна 20%, ставка налога упрощенной системы налогообложения для объекта «Доходы минус расходы» — 15%. Эти ставки могут быть уменьшены, в зависимости от сферы деятельности бизнеса или региона.
Если компания имеет ставку 6% по упрощенной системе налогообложения с объектом «Доходы», то размер налога нельзя учитывать как 6% при расчете финансового рычага. В этом режиме налогом облагается вся выручка (доход компании), а не прибыль (разница между доходами и расходами).
Расчет для компании «Альфа»:
Налоговый корректор = 1 — 0,2 = 0,8
Расчет для компании «Бета»:
Налоговый корректор = 1 — 0,15 = 0,85
Дифференциал финансового рычага
Показатель отражает разницу между рентабельностью активов и платой за заемный капитал. Чем выше значение этого показателя, тем более выражен положительный эффект от действия финансового рычага.
Дифференциал финансового рычага = Рентабельность активов — Ставка по кредиту
Предполагается, что при увеличении активов за счет кредитных денег (они могут быть вложены в запасы, покупку внеоборотных активов или что-то другое), рентабельность сохраняется.
Значения:
- показатель меньше нуля — компания не может обеспечить такую эффективность, чтобы компенсировать плату за использование кредита;
- показатель равен нулю — увеличение прибыли уйдет на погашение процентов по кредиту;
- показатель больше нуля — использование кредита выгодно, компания может повысить свою эффективность за счет заемных средств.
Расчет для компании «Альфа»:
Дифференциал финансового рычага = 40% — 20% = 20%
Использование кредита выгодно.
Расчет для компании «Бета»:
Дифференциал финансового рычага = 10% — 20% = -10%
Использование кредита невыгодно.
Формулы и примеры расчетов IRR
Рассчитать IRR можно четырьмя способами: по формуле, пользуясь встроенной функцией Excel, графическим методом и с помощью онлайн-калькулятора. Навигация по статье
- Что такое IRR инвестиционного проекта и зачем он нужен
- Как рассчитать внутреннюю норму доходности
- Формула внутренней нормы доходности и пример расчета
- Расчет внутренней нормы доходности в таблице Excel
- Графический метод определения внутренней нормы доходности IRR
- Онлайн-калькуляторы внутренней нормы доходности
- Анализ полученных данных
- Преимущества и недостатки показателя IRR
- Отличие модифицированной внутренней нормы прибыли MIRR от IRR
Практика инвестирования показывает, что для правильной оценки перспектив финансирования проекта необходимы предварительные расчеты. Важнейшим показателем служит внутренняя норма доходности. Норма эта учитывает приведенные значения сумм капитала и входящих денежных потоков, и в конечном счете определяет точку безубыточности инвестиции.
Статья посвящена экономическому смыслу понятия IRR и тому, как рассчитать этот показатель.
Другие примеры расчета
Бизнес: Автобизнес
-
Автозаправка
-
Автомойка
-
Автосервис
-
Магазин Автозапчастей
-
Такси
-
Шиномонтажная мастерская
Бизнес: Безопасность
Охранное предприятие
Бизнес: Бытовые услуги
-
Ателье по пошиву одежды
-
Клининговая компания
-
Прачечная
-
Химчистки
Бизнес: Гостиничный бизнес
Хостел
Бизнес: Деньги и Финансы
Ломбард
Бизнес: Животные
-
Ветеринарная аптека
-
Ветеринарная клиника
-
Зоомагазин
Бизнес: Здоровье
-
Массажный салон
-
Медицинский кабинет
-
Стоматологический кабинет
Бизнес: Красота
-
Барбершоп
-
Парикмахерская
-
Тату-салон
-
Тренажерный зал
-
Фитнес-клуб
-
Фотостудия
Бизнес: Образование
-
Детский развивающий центр
-
Репетиторский центр
-
Частный детский сад
Бизнес: Общепит
-
Блинная
-
Кальянная
-
Столовая
Бизнес: Одежда и обувь
-
Магазин детской одежды
-
Магазин обуви
Бизнес: Продукты питания
-
Кондитерская
-
Магазин разливного пива
-
Мини-пекарня
-
Продуктовый магазин
-
Продуктовый магазин формата «У дома»
Бизнес: Развлечения
-
Баня
-
Детская игровая комната
-
Магазин детских игрушек
-
Сауна
Бизнес: Растения
Магазин (салон) цветов
Бизнес: Туризм
Туристическое агентство
Бизнес: Фармацевтика
Аптека
Бизнес: Хозтовары
Магазин бытовой химии
Какая внутренняя норма прибыли?
В корпоративных финансах внутренняя норма прибыли (IRR) — это отношение прибыли, которое используется при планировании капитальных вложений для измерения и сравнения доходности инвестиций. В частности, ставка дисконтирования, при которой чистая приведенная стоимость инвестиции (отрицательный денежный поток) равна чистой приведенной стоимости инвестиции (положительный денежный поток).
Внутренняя норма доходности часто используется для оценки необходимости инвестиций или проекта. Чем выше внутренняя норма прибыли для проекта, тем желательнее его выполнение. Если предположить, что для всех проектов требуется одинаковая сумма инвестиций, проект с наивысшим уровнем IRR будет считаться лучшим и выполнен первым.
Формула расчета IRR:
(NPV = sumlimits_ {t = 1} ^ n {frac {`C_t`}} {{{{(1 + r)} ^ t}}}} — {C_0} = 0)
Внутри:
- t: время для расчета денежного потока.
- n: общее время реализации проекта.
- r: ставка дисконтирования (IRR).
- (`C_t`): чистый денежный поток в момент времени t.
- (`C_0`): начальная стоимость реализации проекта.
Конкретный пример: Если инвестиционный проект может быть реализован с помощью последовательности денежных потоков.
Год (n)
Денежный поток (`C_n`)
-4000
первый
1200
2
1410
3
1875 г.
4
1050
Тогда IRR рассчитывается по формуле:
(ЧПС = — 4000 + гидроразрыв `1200` {{{{(1 + r)} ^ 1}}} + гидроразрыв `1410` {{{{(1 + r)} ^ 2}}} + гидроразрыв `1875` {{{{(1 + r)} ^ 3}}} + гидроразрыв `1050` {{{{(1 + r)} ^ 4}}} = 0)
В этом случае через 4 года доходность r = 14,3%.
Вычисление ЭПС для аннуитета
Метод, который мы рассмотрели выше, при правильном его
применении, достаточно удобен. Но в определенных
случаях, а именно, для аннуитетной схемы погашения кредита, эффективную
процентную ставку можно найти еще быстрее и проще. Собственно, основное
преимущество метода, который мы рассмотрим далее, заключается в его
большей компактности.
Перепишем формулу (3) — соотношение для
определения эффективной процентной ставки, которое справедливо
при погашении кредита аннуитетными платежами — с
помощью уже знакомого нам множителя дисконтирования vτ = (1 + i )–τ :
|
|
(5) |
Умножим обе части уравнения (5) на
(1 – vτ ), приведем
подобные слагаемые, а затем разделим результат на (S – R
+ R).
В результате мы получим следующее соотношение:
|
. |
(6) |
Для нахождения корня уравнения (6) можно использовать
уже знакомый нам метод Ньютона.Для этого введем функцию
и найдем ее производную:
.
Теперь, если в качестве начального приближения выбрать
|
, |
(7) |
то с помощью формулы (4) можно получить
последовательность чисел {x(k)},
приближающихся к точному значению множителя дисконтирования vτ .
В заключение хочется сделать еще одно важное общее
замечание. Рассмотренный нами метод гарантированно сойдется (то есть
приведет к искомым значениям множителя дисконтирования и эффективной
процентной ставки), если в качестве начального значения выбрать
величину (7)
Если же взять какое-нибудь другое начальное
приближение, то метод может сойтись ко второму
корню
функции f(x) —
единице (соответствующее значение эффективной процентной ставки равно
нулю). Например, в рассмотренном нами примере так произошло бы, возьми
мы в качестве начального приближения любое число больше 0,992.
И еще одно общее замечание относительно
выбора
численного метода. Существует великое множество численных методов,
многие из которых вполне можно было бы применить для решения наших
задач. Метод Ньютона был выбран из-за его, на мой взгляд, оптимального
соотношения между сложностью применения и скоростью сходимости (вы ведь
помните, мы ни в одном из примеров не делали больше восьми вычислений).
Существуют более быстрые, но более сложные для понимания методы.
Существуют более простые методы, с меньшим количеством ограничений и
гарантированной сходимостью, но требующие большого количества
вычислений. Например, если бы мы в последнем примере использовали
широко известный метод простой итерации,
то для
достижения требуемой точности нам пришлось бы сделать около сотни
вычислений. Понятно, что эти вычисления делает программа, но тем не
менее.
Версия для печати
Резюмируем
- Рентабельность активов показывает, насколько эффективно компания использует свое имущество, сколько прибыли приходится на каждый рубль стоимости активов. Если ставка по кредиту выше этого показателя, он приведет к убыткам.
- Рентабельность собственного капитала показывает, сколько прибыли приходится на каждый рубль собственного капитала.
- Эффект финансового рычага отражает влияние кредита на рентабельность собственного капитала.
- Расчет эффекта финансового рычага включает налоговый корректор, дифференциал и плечо финансового рычага.
- При грамотном планировании и хорошей работе заемные средства повышают эффективность работы компании. Если долг слишком велик, процент по кредиту больше рентабельности активов, кредит может начать «съедать» прибыль компании и привести к кассовым разрывам.
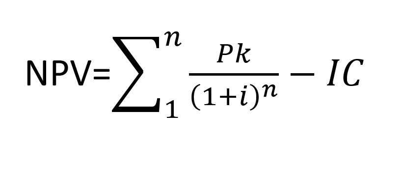
Формула расчета
Стандартная NPV-формула выглядит следующим образом:

n – период расчета;
Pk – денежные потоки за выбранный период времени;
i – ставка дисконтирования;
IC – размер первоначальных вложений.
Важно учесть все составляющие, и здесь многое зависит от конкретного проекта. Вложения нужны для того, чтобы увеличить прибыль, но для небольшого магазина и крупной фабрики эти суммы будут совершенно разными
Определение срока окупаемости тоже зависит от множества факторов. Хотя сложнее всего – рассчитать денежные потоки и ставку дисконтирования.
Денежные потоки
Под денежными потоками понимают все финансовые поступления и расходы. Под поступлениями чаще всего подразумеваются продажи, хотя встречаются и другие их виды – например, проценты от проведенных сделок. Расходы включают в себя выплату заработной платы сотрудникам, коммунальные платежи, закупку сырья, аренду помещений, обустройство рабочих мест, налоги.
Существуют также предположительные потоки, и рассчитать их гораздо сложнее – например, грядущее повышение арендной ставки или затраты на запуск на рынок нового продукта. В качестве аналитической базы используют экономические показатели, данные мониторинга конкурентов, ожидаемый эффект от рекламы и другие данные.
Чтобы оценить прибыльность рекламных кампаний, подключите сквозную аналитику Calltouch. Сервис посчитает прибыль, продемонстрирует эффективность рекламы и позволит спрогнозировать результативность кампаний.
Сквозная аналитика Calltouch
- Анализируйте воронку продаж от показов до денег в кассе
- Автоматический сбор данных, удобные отчеты и бесплатные интеграции
Узнать подробнее
Ставка дисконтирования
Узнать NPV проекта невозможно без ставки дисконтирования. Далеко не все инвесторы вкладывают собственные средства – иногда выгоднее взять кредит, чем использовать внутренние ресурсы. Или можно продать акции, если потенциальная прибыль у проекта выше, чем их доходность.
Посчитать ставку в случае с кредитом проще. Достаточно ориентироваться на годовой процент. Если же инвестор планирует использовать деньги с продаж акций, придется сравнивать прогнозы по доходам. И все равно это будет только приблизительная информация.

Особенности и синтаксис функции ВСД
Один из методов оценки инвестиционных проектов – внутренняя норма доходности. Расчет в автоматическом режиме можно произвести с помощью функции ВСД в Excel. Она находит внутреннюю ставку доходности для ряда потоков денежных средств. Финансовые показатели должны быть представлены числовыми значениями.
Суммы внутри потоков могут колебаться. Но поступления регулярные (каждый месяц, квартал или год). Это обязательное условие для корректного расчета.
- Значения. Диапазон ячеек, в которых содержатся числовые выражения денежных средств. Для данных сумм нужно посчитать внутреннюю норму доходности.
- Предположение. Цифра, которая предположительно близка к результату. Аргумент необязательный.
- В диапазоне с денежными суммами должно содержаться хотя бы одно положительное и одно отрицательное значение.
- Для функции ВСД важен порядок выплат или поступлений. То есть денежные потоки должны вводится в таблицу в соответствии со временем их возникновения.
- Текстовые или логические значения, пустые ячейки при расчете игнорируются.
- В программе Excel для подсчета внутренней ставки доходности используется метод итераций (подбора). Формула производит циклические вычисления с того значения, которое указано в аргументе «Предположение». Если аргумент опущен, со значения 0,1 (10%).
При расчете ВСД в Excel может возникнуть ошибка #ЧИСЛО!. Почему? Используя метод итераций при расчете, функция находит результат с точностью 0,00001%. Если после 20 попыток не удается получить результат, ВСД вернет значение ошибки.
Когда функция показывает ошибку #ЧИСЛО!, повторите расчет с другим значением аргумента «Предположение».
IRR отрицательный: что это значит
Бывают такие случае, когда в расчётах мы получаем IRR отрицательный, но что это значит. К сожалению, это говорит нам о том, что процент, получаемый от банка, будет слишком низкий. Такой расклад заводит любой бизнес проект в тупик, он не даёт никаких результатов. Почему так происходит? Потому что прибыль от проекта мы получить не можем, она уходит в минус. То есть, ни о каких перспективах развития здесь речи быть не может.
Как следствие, многие фирмы и компании в целях спасти свой проект, обращаются за помощью к профессионалам. Они помогают оптимизировать его проверенными способами. Конечно, всё это осуществляется не сразу, а постепенно, направленно на результат.
Чтобы продвинуть или вообще восстановить проект, может быть предложен способ повышения популярности сайта проекта на основе того, из чего состоит объявление в РСЯ для только начинающих развиваться и собирать аудиторию интернет-ресурсов.
Дальнейшая работа проводится в соответствии с тем, чтобы сделать веб-сайт более удобным и комфортным для интернет-пользователей. Другими словами, нужно разработать все детали сайта так, дабы пользователь не заблудился на сайте, пришёл за тем, что ему нужно. И цель проекта будет выполнена. Тут профессионалы могут объяснить, как добавить хлебные крошки на вебстранице и помочь это осуществить. Здесь, наверное, уже не стоит говорить, на сколько это поможет поднять IRR.
В заключение данной познавательной для Вас статьи, хотим ещё раз подчеркнуть важность IRR и NPV показателей. Они напрямую связанных с успешностью любых бизнес проектов
Поэтому необходимо не только знать, но и понимать их основную суть. Возможно, это поможет далеко продвинуться в своём деле или найти то, что Вам действительно интересно.





















.







